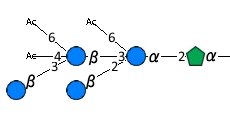
Title : Tenuifolioses G-P, oligosaccharide multi-esters from the roots of Polygala tenuifolia WILLD
Authors : Miyase T; Iwata Y; Ueno A
Info : Chem Pharm Bull (1992) 40: 2741-2748
TAXID : 355332
Other Data : 2010-12-17
Title : Tenuifolioses G-P, oligosaccharide multi-esters from the roots of Polygala tenuifolia WILLD
Authors : Miyase T; Iwata Y; Ueno A
Info : Chem Pharm Bull (1992) 40: 2741-2748
TAXID : 355332
Other Data : 2010-12-17
Title : Tenuifolioses G-P, oligosaccharide multi-esters from the roots of Polygala tenuifolia WILLD
Authors : Miyase T; Iwata Y; Ueno A
Info : Chem Pharm Bull (1992) 40: 2741-2748
TAXID : 355332
Other Data : 2010-12-17