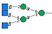
Title : Control of glycoprotein synthesis. Detection and characterization of a novel branching enzyme from hen oviduct, UDP-N- acetylglucosamine:GlcNAc.beta.1-6(GlcNAc.beta.1-2)Man.alpha.-R (GlcNAc to Man) .beta.-4-N- acetylglucosaminyltransferase VI
Authors : Brockhausen I; Hull E; Hindsgaul O; Schachter H; Shah RN; Michnick SW; Carver JP
Info : J Biol Chem (1989) 264: 11211-11221
Other Data : 2010-12-17