JCGGDB TOP Search engine for Cheminformatics

Structure

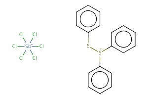
JCGG-M0000093937

IUPAC
Composition

Formula
C18H15Cl6S2Sb
Mw
629.90
Smiles
InChIKey
QKUATCNNERMZPO-UHFFFAOYSA-H
External Links
JCGG-COM0001930 (Organic Chemistry)

©2008-2013 Research Center for Medical Glycoscience, National Institute of Advanced Industrial Science and Technology (AIST)