JCGG ID |
JCGG-RAC0001813 | |||||||
Submitter |
The Noguchi Institute | |||||||
Reaction ID |
R-0000-001813
|
|||||||
Regist Date |
2012/06/21 18:02:46 | |||||||
| REACTANT | ||||||||
|
|
|
|
||||||
Mol |
2.6 mmol | |||||||
|
|
|
|||||||
Mol |
5.2 mmol | |||||||
|
|
|
|||||||
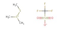
Reactant Type |
DMTST | |||||||
Mol |
3.0 equiv. (relative to the donor) | |||||||
| PRODUCT | ||||||||
MOLECULE ID |
|
|
|
|||||
Product Type |
alpha | |||||||
Yield |
70% | |||||||
| REACTION DETAIL | ||||||||
Reaction Time |
17 hours | |||||||
Reaction Temp |
-15 degree C | |||||||
Solvent |
dry MeCN | |||||||
Comment |
16, 11, and MS 3A were mixed and stirred for 6 hours at room temperature before the reaction. | |||||||
| MS 3A was included in the solvent. | ||||||||
| The reactants were mixed at -30 degree in Celsius before stirred at -15 degree. | ||||||||
| COMMENT | ||||||||
| Keywords: synthesis, sialyl glycosides, sialylation, 3-O-benzoyl-galactose | ||||||||
| REFERENCE | ||||||||
Reference Id |
REF-0000-000196 | |||||||
Source |
PREPARATIVE CARBOHYDRATE CHEMISTRY | |||||||
Reference Id |
REF-0000-000197 | |||||||
Source |
ISBN 0-8247-9802-3 | |||||||
Reference Id |
REF-0000-000242 | |||||||
Source |
Carbohydr. Res. 184:C1 (1988) | |||||||
Reference Id |
REF-0000-000243 | |||||||
Source |
Carbohydr. Res. 212:277 (1991) | |||||||
©2008-2013 Research Center for Medical Glycoscience, National Institute of Advanced Industrial Science and Technology (AIST)
|